Skip to Main Content
MENU
Trang chủ
Giới thiệu
Cơ cấu tổ chức
Thông tin tuyên truyền
Phổ biến giáo dục pháp luật
Covid19
Tin tức sự kiện
Thủ tục hành chính
An toàn thực phẩm
Khám chữa bệnh
Dược phẩm
Mỹ phẩm
Y Tế dự phòng
Thiết bị y tế
Dân số, Bà mẹ - Trẻ em
Bảo trợ xã hội
Phòng chống tệ nạn xã hội
Liên hệ
Tuyển dụng
ISO 9001-2015
Sở y tế - Đồng Tháp
>
Chi tiết tin tức
>
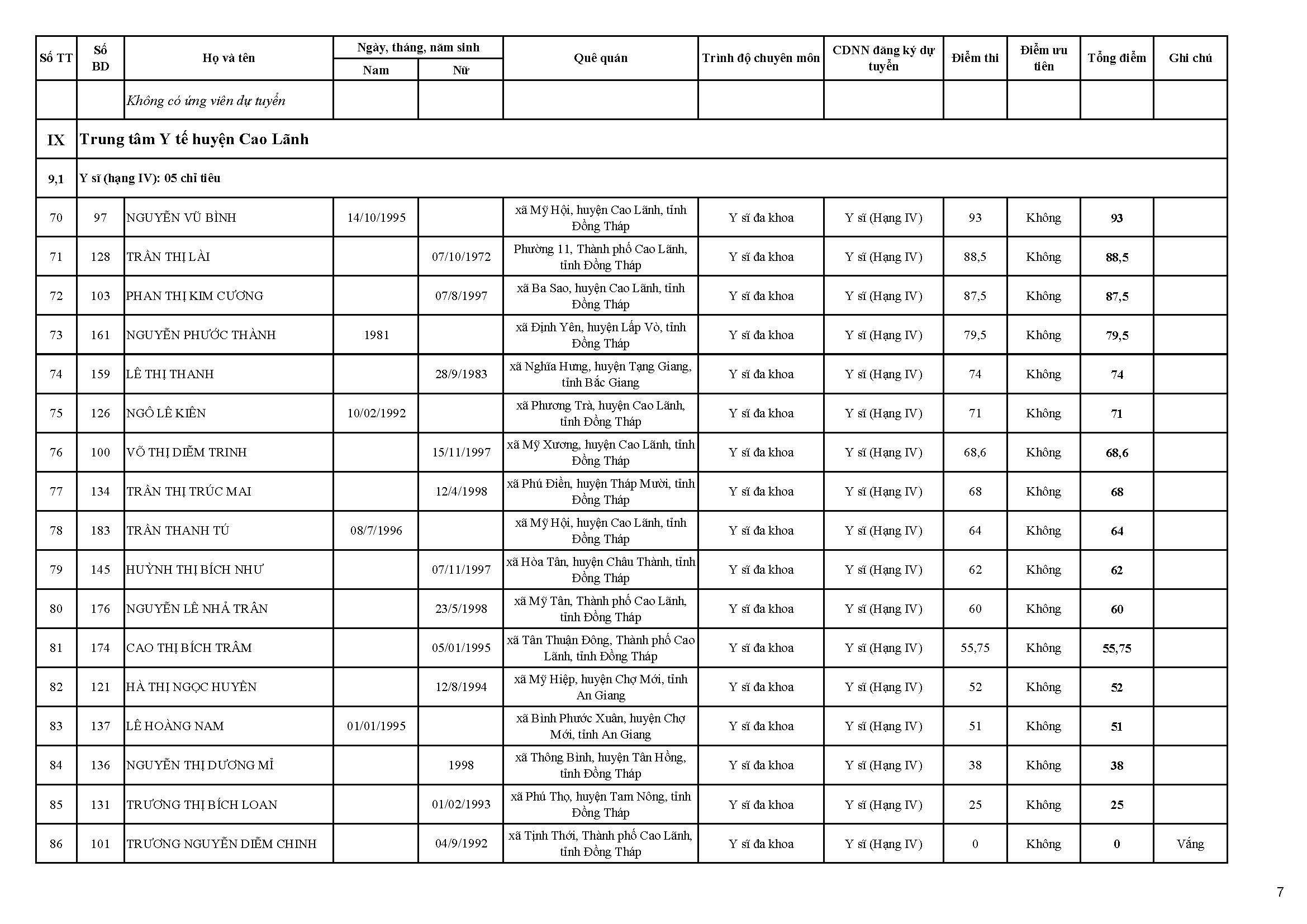
[26/11/2020] Thông báo kết quả tổng điểm xét tuyển viên chức ngành Y tế Đồng Tháp năm 2020
Đăng ngày 27/11/2020 10:02
Chia sẻ
Phóng to
Thu nhỏ
In
[
Tải văn bản
] - [
Danh sách đính kèm
]
Tin tức khác
Thông báo Tuyển dụng viên chức Bệnh viện Đa khoa Sa Đéc năm 2025
(17/12/2025 09:08)
[25/09/2020] Thông báo điều chỉnh, bổ sung tài liệu ôn tập xét tuyển viên chức Ngành Y tế tỉnh Đồng Tháp năm 2020
(30/09/2020 02:19)
[24/09/2020] Thông báo về việc nộp bản chính giấy chứng nhận kết quả thi kỳ thi tốt nghiệp THPT đối với các thí sinh đã đăng ký xét tuyển đào tạo theo đặt hàng hệ chính qui, tại Trường ĐHYD Cần Thơ và Trường Đại học Trà Vinh năm 2020
(30/09/2020 02:06)
[22/09/2020] Thông báo tài liệu ôn tập kỳ xét tuyển viên chức Ngành Y tế tỉnh Đồng Tháp năm 2020
(30/09/2020 02:02)
[15/10/2020] Về việc kết quả xét tuyển đào tạo trình độ đại học hệ chính quy theo đặt hàng tại Trường ĐHYD Cần Thơ và Trường Đại học Trà Vinh năm 2020
(15/10/2020 01:40)
[15/02/2022] Thông báo tuyển dụng viên chức Ngành Y tế tỉnh Đồng Tháp năm 2022
(15/02/2022 10:18)
[12/06/2020] Thông báo tuyển dụng viên chức ngành Y tế tỉnh Đồng Tháp năm 2020
(30/09/2020 01:51)
[10/11/2020] Thông báo tuyển dụng viên chức ngành Y tế tỉnh Đồng Tháp, năm 2020 (đối tượng Bác sĩ đa khoa, Bác sĩ Răng - Hàm - Mặt, Bác sĩ Y học Dự phòng, Kỹ sư và Chuyên viên)
(10/11/2020 02:11)
[07/12/2020] Thông báo về việc công nhận kết quả trúng tuyển trong kỳ xét tuyển viên chức ngành Y tế năm 2020
(09/12/2020 01:41)
Thông báo
01
Thông báo tống đạt cho người vắng mặt tại nơi cư trú, trên phương tiện đại chúng, về thụ lý, giải quyết vụ án (Nguyễn Tiến Lộc, sinh năm 1971)
02
Thông báo tìm kiếm người bị yêu cầu tuyên bố mất tích (anh Nguyễn Quốc Lợi, sinh năm 1982)
03
Thông báo tìm kiếm người vắng mặt tại nơi cư trú (chị Dương Thị Tuyến Linh, sinh năm 2017)
04
Thông báo tìm kiếm người bị yêu cầu tuyên bố mất tích (ông Đào Thanh Tuấn, sinh năm 1979)
05
Thông báo tìm kiếm người bị yêu cầu tuyên bố mất tích (chị Lê Thị Kiều Oanh, sinh năm 1984)
06
Thông báo tìm kiếm người bị yêu cầu tuyên bố đã chết (ông Lê Hoàng Dũng, sinh năm 1968)
07
Thông báo về chương trình hỗ trợ tài chính đối với Doanh nghiệp nhỏ và vừa của Quỹ Phát triển Doanh nghiệp nhỏ và vừa
08
Thông báo tìm kiếm người bị yêu cầu tuyên bố mất tích (ông Võ Minh Tài, sinh năm 1977)
09
Thông báo tìm kiếm người bị yêu cầu tuyên bố mất tích (bà Phạm Thị Hà, sinh năm 1970)
10
Thông báo tìm kiếm người bị yêu cầu tuyên bố mất tích (chị Văn Yến Vy, sinh năm 2000)
Nội dung khác
LĨNH VỰC DƯỢC
LĨNH VỰC MỸ PHẨM
DANH SÁCH CÁC SẢN PHẨM XÉT NGHIỆM SARS-COV-2 ĐƯỢC CẤP SỐ ĐĂNG KÝ, GIẤY PHÉP NHẬP KHẨU
LĨNH VỰC KHÁM BỆNH CHỮA BỆNH
ĐẤU THẦU DỰ ÁN
ĐỀ TÀI KHOA HỌC
BẠN ĐỌC HỎI - CƠ QUAN TRẢ LỜI
GÓP Ý DỰ THẢO VĂN BẢN
Thống kê lượt truy cập
Đang truy cập:
Hôm nay:
Tuần này:
Tháng này:
Tổng lượt truy cập:
Hidden